服务热线:133 6655 6600
发布内容
当前位置: 现代供热网 技术交流 正文

供暖改造优选方案:

45 2026-01-15

在供暖系统设计与改造中,混水系统因高效节能、造价经济等优势,成为小规模热电联产项目的热门选择。但它并非“万能方案”,适用场景、设计要点与运行难点都需要精准把控。今天就从定义、优劣、设计注意事项到实际案例,全方位拆解混水系统,帮你理清它的核心价值与应用逻辑。



一、先搞懂:混水系统到底是什么?


混水系统的核心逻辑,是通过混水站将外网供热系统拆分为“高温一次网”和“低温二次网”两部分:二次网的回水一部分直接回流至一次网,另一部分经混水站加压后,与一次网的供水混合,形成符合用户需求的二次网供水。简单说,就是通过“冷热混合”精准匹配供热需求,同时简化系统结构。


二、优势突出:混水系统为什么值得选?


相比传统间接供热系统,混水直供的优势主要集中在“节能、省钱、省空间”三大维度,尤其适配预算有限或追求高效运行的项目:

  1. 热利用率更高:省去了换热器,彻底避免了换热器的散热损失,热量能直接传递到用户端,能源浪费更少。

  2. 维护成本大降:没有换热器,就不用承担定期除垢清洗、密封垫更换等维护工作。要知道,单台换热器年均维护费用就约2500元,长期下来能节省一大笔开支。

  3. 初期投资更省:不仅省去了换热器和变频补水系统的设备投资,还因设备占地面积小,大幅降低了热力站的土建造价,整体造价明显低于间接供热系统。


三、理性看待:混水系统的短板与适用边界


混水系统虽好,但并非适用于所有场景,其短板主要集中在运行稳定性和设计难度上,需提前规避风险:

  1. 水质控制难度大:整个系统水质完全连通,锅炉水质无法单独调控。如果水处理不到位,很容易导致锅炉严重腐蚀。

  2. 系统稳定性较差:由于全系统连为一体,任何一处失水或进空气(倒空),都会影响整个系统的正常供热,甚至导致全面停摆。因此,它不适合200万m²以上的大中型供热系统。

  3. 运行调节门槛高:系统中同时存在一级网循环泵和多个热力站的混水泵,泵的串联/并联运行、阀门调节都会直接影响流量和压力平衡。既要保证一级网水力平衡,又要满足二级网供热需求,对运行人员的技术水平要求很高,若调控设备不足,容易出现冷热不均。

  4. 设计匹配难度大:混水方式、水泵型号的选择,都需要结合现场工况和热网水压图位置确定,很难找到完全匹配理想参数的循环泵,进一步增加了运行调节难度。


四、设计关键:5个核心注意事项+不适配场景


要让混水系统稳定运行,设计阶段必须把控好以下5个核心要点:

  1. 不超压:严格控制压力,不超过热用户的承压能力极限;

  2. 不倒空:满足热用户最高点的定压要求,避免系统进空气;

  3. 水能流:保证热用户系统所需的压差,确保水循环顺畅;

  4. 能混水:满足回水混合进入供水的压力要求,保证混合效果;

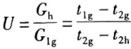
  5. 明确混水比:

    根据混水流量与温度计算,核心公式为:


    其中U为混合比,Gh为回水流量,G1g为热网供水流量,t1g为热网供水温度,t2g、t2h为混水后供回水温度


同时要注意,以下场景不建议采用混水供暖:

① 一次网站内压力偏高(超过二次网最大承压);② 一次网压力不稳定(如间歇供暖的小型系统,压力随温度波动大);③ 系统失水量大;④ 运维技术水平较弱的公司。


五、3种核心形式:适配不同压力需求的混水方案


混水系统水压图如图所示。


混水系统的基本形式需根据一次网与二次网的压力关系选择,3种主流形式对应不同场景:

  1. 水泵旁通加压:适用于二次网供回水压力在一次网供回水压力之间。在混水旁通管路装变频混水泵,一次网供水管装流量控制阀、回水管装手动调节阀,通过水泵将部分二次网回水加压打入一次网供水,混合后形成二次网供水。

  2. 水泵供水加压:适用于二次网所需供水压力高于一次网供水压力。变频混水泵装在二次网供水管上,一次网回水管装流量控制阀,供水管和旁通管装手动调节阀。通过调节阀门设定一次网流量,平衡静压,再由水泵吸入部分回水与一次网供水混合。

  3. 水泵回水加压:适用于二次网所需回水压力低于一次网回水压力。变频混水泵装在二次网回水管上,一次网供水管装流量控制阀、回水管装手动调节阀。通过调节阀门满足二次网供水压力要求,由水泵提压后将部分回水与一次网供水混合。


六、实战案例:370万m²供暖系统的混水改造之路

理论之外,实际改造效果更有说服力。下面分享某供热公司的混水改造案例,看看它如何解决原有系统的痛点:

1. 改造前的困境

该公司供暖系统为热电联产形式,单热源枝状管网,2010年建成,设计温度75℃/55℃,设计压力1.3MPa,采用低温循环水直供模式。初期规划供暖面积240万m²,2010-2011采暖季实际供暖140万m²,但问题频发:

  • 末端用户不热现象明显,人为放水严重,系统失水量过大;

  • 直供系统水力失调,为满足末端需求需增大循环流量,但管网管径固定,增大流量后水泵出口压力达5.4MPa,严重超压;

  • 若改为换热站改造,因一次网供水温度偏低,换热效率差、热损大,且初期投资极高。

2. 混水改造方案

综合考量后,项目选择混水系统改造,核心设计思路:

  • 一次网循环流量按1.5kg/(h·m²)计算,系统定压不超过0.25MPa,首站内部阻力控制在0.15MPa;

  • 利用原有水泵,保证热源出口压力不超过0.8MPa,确保系统设备在承压范围内;

  • 采用交叉水压图设计,根据不同位置的压力及压差情况,划分4类混水站:旁通加压混水站、供水加压混水站、回水加压混水站及分布式混水站。

    混水改造后设计水压图如图所示。


3. 改造效果显著

采暖季供暖数据表

通过持续跟踪多个采暖季的运行数据,改造效果十分明显:

  • 平均耗热量、平均耗电量、平均补水量逐年下降,运行成本大幅降低;

  • 用户满意度显著提升,热力公司收费率同步提高;

  • 截至2021年,实际供暖面积已达370万m²,建成110座混水站,整体运行稳定良好。

结语:混水系统的核心价值在于“精准匹配”

从案例可以看出,混水系统并非简单的“简化改造”,而是通过精准匹配热网压力、流量需求,实现节能降耗与稳定运行的平衡。它是小规模热电联产设计和改造的优选方向,但成功的关键在于吃透其适用边界、做好设计细节、提升运维水平。

声明:本站文章来源转载仅供参考学习,转载内容合法性不承担保证责任,但将依法配合处理侵权纠纷,转载内容版权归原作者所有,本站已尽力标注来源,若有疏忽请联系更正,如果有侵权请联系我们24小时之内删除13366556600

热线电话
133 6655 6600
热线电话 微信咨询
回到顶部 回到首页