服务热线:133 6655 6600
发布内容
当前位置: 现代供热网 技术交流 正文

供热系统的热负荷

210 2025-11-14

供暖系统向建筑物供给的热量称为供暖系统的热负荷。热负荷是设计供暖系统的最基本数据。根据传热基本理论,要维持室内的一定的温度,就必须使房间的得热量与失热量达到平衡,供暖系统设计热负荷的计算方法就是根据热平衡原理确定的。

热负荷是确定用户热量的根本依据,也是影响热用户室温的根本原因,所以,了解热负荷的构成是研究供热基本问题的关键。热负荷组成如图1所示。


图1  热负荷组成

1. 民用建筑热负荷的组成

民用建筑热负荷包括围护结构耗热量(基本耗热量、附加耗热量)、冷风渗透耗热量(窗)、冷风侵入耗热量(门)、通风耗热量、其他途径散失或获得的热量。


2.室内供热系统热负荷

室内供热系统热负荷一般需进行精确计算。室内供暖热负荷

Q=Q₁+Q₂+Q₃      (1)

式中,Q为室内供暖总热负荷,W;Q₁为房间围护结构耗热量,W;Q₂为房间通过门、窗缝的冷风渗透耗热量,W;Q₃为外门开启冷风侵入耗热量,W。其中,Q₁最主要,称为基本耗热量


3.集中供热系统热负荷

对于区域集中供热系统,由于常常缺少单体建筑有关资料,难以用上述方法详细计算各建筑物热负荷。在这种情况下,一般采用概算方法进行计算。

(1)用供暖建筑面积概算热指标

供暖热负荷是随室外温度变化而变化的季节性热负荷,概算热指标为

Qn=qnA      (2)

式中,Qn为供暖设计总热负荷,W;A为供暖建筑物的建筑面积,m²;qn为建筑面积概算热指标,W/m²,指每平方米供暖建筑面积的热负荷。

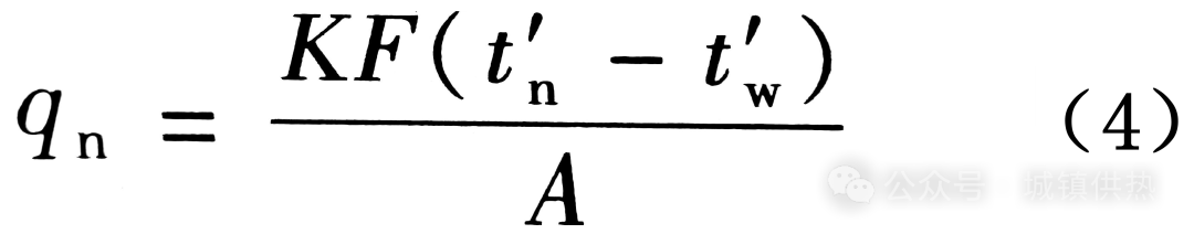
房间基本耗热量的计算公式为

Qn=KF(tn-tw)      (3)

将式(2)与式(3)相比较,可有下列关系:


建筑面积概算指标规定值见表1。

表1  不同建筑热指标


(2)供暖体积概算热指标

供暖热负荷也可按建筑体积大小进行概算:

Qn=qvVw(tn-t'w)      (5)

式中,Qn为建筑物设计供暖热负荷,W;Vw为建筑物的外围体积,m³;qv为建筑物供暖体积概算热指标,W/(m³·℃);它表示各类建筑物在室内外温差1℃时,每1m³建筑物外围体积的供暖热负荷。qv的影响因素为

式中,K、F意义同前,表示围护结构的传热系数和传热面积。

由式(5)、式(6)知:①围护结构愈好,门窗比例愈小,墙愈厚,K值愈小,qv愈小;②qv和建筑物外形有关,由几何学知,同面积同体积,正方形和正方体的周长和外表面积最小的原理,建筑物平面为正方形、立面为正方体时其F/Vw最小,即单位体积中的围护结构面积最小,此时qv最小;③因qv表示室内外单位温差的热负荷,理论上讲qv与地区冷热无关,但寒冷地区墙厚,当给出qv值的上下限时,应取偏小值。


4.供暖季总供暖耗热量概算——度日法

以上介绍的是设计供暖热负荷,即每小时在供暖期间的最大热负荷。为了进行能效分析,常常还需要知道整个供暖期的总耗热量。

南京大学大气科学系为此提出了度日法,以此进行供暖季总耗热量的概算就变得十分方便。计算公式为

式中,Q为供暖季每1m²供暖建筑面积总耗热量,kJ(kcal);D₁₈为各地区室内温度以18℃为基准的度日数,℃·d;度日的定义是每日的室外平均温度与规定的室内基准温度(如18℃)每日相差1℃的数值。


5.采暖年耗热量

采暖年耗热量Q为

式中,Q′n为供暖设计热负荷,kW;N为供暖期天数,d;tw为供暖室外计算温度,℃;tn为供暖室内计算温度,℃,一般取18℃;tp为供暖室外平均温度,℃;0.0864为公式化简和单位换算后数值。


6.热负荷图

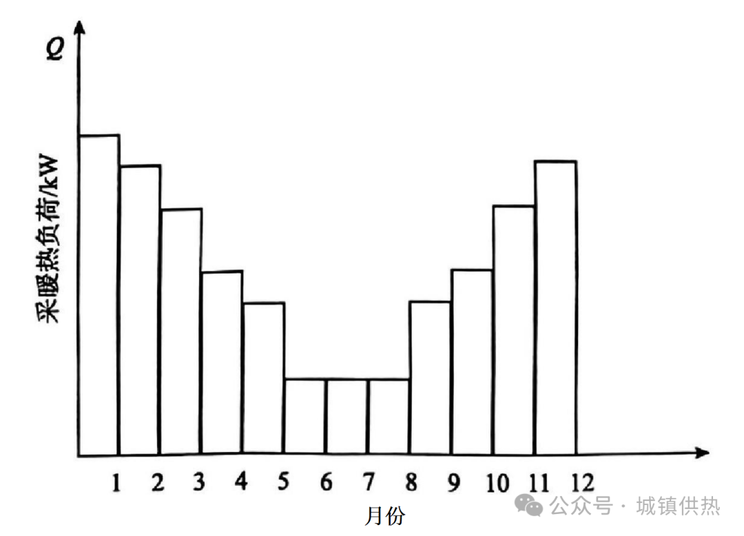
热负荷图用来表示整个热源或热用户系统热负荷随室外温度或时间变化。热负荷图形象地反映热负荷变化规律,对集中供热系统设计、技术经济分析和运行管理都很有用处。日热负荷与时间关系如图2所示,年热负荷如图3所示,热负荷随室外温度变化如图4所示,热负荷延续时间如图5所示。

图2  日热负荷与时间的关系


图3  年热负荷


图4  热负荷随室外温度变化

1-供暖热负荷随室外温度变化曲线;2-冬季通风热负荷随室外温度变化曲线; 3-热水供应热负荷随室外温度变化曲线;4-总热负荷随室外温度变化曲线


图5  热负荷延续时间图


在供暖热负荷延续时间图中,横坐标的左方为室外温度tw,纵坐标为供暖热负荷Qn;横坐标的右方表示小时数。横坐标n'代表供暖期中室外温度twtw (tw为供暖室外计算温度)出现的总小时数;n代表室外温度twtw出现的总小时数;n₂代表室外温度twtw2出现的总小时数;nzh代表整个供暖期的供暖总小时数。


声明:本站文章来源转载仅供参考学习,转载内容合法性不承担保证责任,但将依法配合处理侵权纠纷,转载内容版权归原作者所有,本站已尽力标注来源,若有疏忽请联系更正,如果有侵权请联系我们24小时之内删除13366556600

热线电话
133 6655 6600
热线电话 微信咨询
回到顶部 回到首页