服务热线:133 6655 6600
发布内容
当前位置: 现代供热网 技术交流 正文

管道压力降计算相关公式

45 2025-12-19

管道系统中的阻力损失包括沿程阻力损失和局部阻力损失,沿程阻力损失是指流体流过管路中时因为和边壁的摩擦产生的阻力损失;局部阻力损失指的是弯头、阀门、变径等(非直管道)流体流速或流向突然改变引起的阻力损失。

Σh=hf(沿程阻力损失)+hm(局部阻力损失)

在管道系统中,按局部水头损失和流速水头之和在总水头损失中所占的比重,管道可分为:

短管:沿程、局部水头损失和流速水头均须考虑(如:水泵吸水管,虹吸管)

长管:管道中以沿程水头损失为主,局部水头损失和流速水头所占比重小于5%-10%的沿程水头损失,或管道长度大于1000倍管径时,在水力计算中可略去局部水头损失和出口流速水头(如:市政给水管道)

短管、长管是按能量划分,不是按长度划分的。

水头是流体的能量,以水位高度 (m) 为单位表示,也成称之为压头。动能用速度水头表示,势能用位置水头表示,压力能用压力水头表示,总和称为总水头 ,根据能量守恒和伯努利定理,管道中任意点的水头为:

总水头=位置水头+压力水头+流速水头



局部阻力计算



      管件的局部阻力可用阻力系数法或当量长度法计算,或两种计算方法一起使用。

hm = ζ * v2/(2 * g)


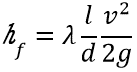
沿程水头损失计算公式



达西公式(适用于圆管满流)

Darcy-Weisbach Formula



      式中:

      λ-沿程阻力系数;

      l-管段长度(m);

      d-管道内径(m);

      v-过水断面平均流速(m/s);

      g-重力加速度(m/s2)。

1 计算流体阻力涉及的几个物理量:

      牛顿流体和非牛顿流体

     温度和压力一定时,牛顿流体的粘度μ为常数,和流速无关在非牛顿流体中,粘度μ不是常数,它不仅随温度和压力变化,而且随流速而变。

      雷诺数Re,计算公式为Re=ρDV/μ,其中D代表管道内径(m),ρ代表流体密度(kg/m³),V代表流体平均流速(m/s),μ代表流体动力粘度(Pa.s);

      管道相对粗糙度ε/D,其中ε代表管内壁绝对粗糙度(m),D同上代表管道内径(m),

      摩擦系数f,国内常用希腊字母λ表示,该系数取决于雷诺数Re和管道相对粗糙度ε/D

      1)当Re< 2300的时候,流体为层流,摩擦系数计算:

      2)当2300 < Re < 10000的时候,流体为过渡流,摩擦系数计算:

×

      3)当Re > 100000的时候,流体为湍流,摩擦系数计算(雷诺数越大,与粗糙度的关联度越大):

2. 流型的判断

      不同的流型应采用不同的摩擦系数方程,常见流型如下:

1) 过渡流

      过渡流(既不是完全层流又不是完全湍流)的雷诺数在2300到4000之间,此流型下的摩擦系数存在很大的不确定性。

2)水力光滑管湍流

      水力光滑管内壁粗糙高度小于流体粘滞底层高度,因此可忽略管道粗糙度对流体流动带来的影响,摩擦系数的求解也相对简单。常用方程为Blasius方程,但该方程只适用于Re>100,000时的水力光滑管;有时为了简化计算,也可用于水力粗糙管。

3) 水力粗糙管湍流

      水力粗糙管湍流(Re>4,000)摩擦系数可用Colebrook-White方程求解,简称Colebrook方程。
4) 自由表面流

3 流态名词说明

序号

名词
英文
1
层流

Laminar flow
2
紊流
湍流
turbulent
3

层流转变为

紊流的过渡区


Critical zone
4
水力
光滑

Smooth pipes
5
混合
摩擦
紊流
过渡
Transition
zone
6
水力
粗糙
阻力
平方
Complete 
turbulence, 
rough pipes


沿程阻力系数λ计算公式


除前面介绍的阻力系数计算公式以为,还有许多公式被经常使用,这些公式会适用于不同的介质流型或管道形状。下面是有资料记载的计算公式,读者可以按需求选择:


柯尔勃洛克-齐恩公式

说明
公式
式中
适用于水力光滑区、紊流过渡区和阻力平方区

Δ—管道内壁的当量粗糙度

非满流管道流体(可视为自由表面流)摩擦系数Colebrook方程如下:
上述方程仅适用于湍流,事实上也存在一种更普适(适用于所有流型)的估算方程,这里不再叙述。


2 海曾-威廉(Hazen-Wllliams)等公式


说明
公式
式中
1

适于较光滑的圆管满管紊流计算,主要用于给水管道水力计算

q-流量m3/sCW-海曾-威廉粗糙系数

2

i=105Ch-1.85dj-4.87qg1.85
i-管道单位长度水头损失,kPa/mdj-管道计算内径,mqg-流量,m3/sCh-海曾-威廉粗糙系数
3

冷却水管有结垢,推荐采用哈森-威廉的经验公式进行计算

ΔPf-摩擦压力降,kPaVf-冷却水体积流量,m3/hd-管道内径,mmCHW-海曾-威廉系数L-管道长度,m

本公式仅在流体的粘度约为1.1 mPa·s(水在15.5℃时的数值)时,其值才准确。在0℃时可能使计算出的摩擦压力降增大20%,100℃时可能减小20%。其它流体当粘度和水近似时,也可用此式计算。

4

For water flow-ingunderturbulent conditions

S = hydraulic gradient or frictional head loss per unit length of pipe, (m/m)V = average  pipe velocity,  m/sC = frictionfactor for   this formular = hydraulic radius (liquid area divided by wettedperimeter) or D/4 for a full pipe, (m)

Hazen and Williams roughness values C for circular-section pipes


C
Extremely smooth
pipelines
140
Very smooth pipelines
130
Concrete pipes
120
New steel pipes (riveted)
and tiled channels
110
Normal cast pipes,10-year-old
steel pipes and older
100
Very rough pipelines
60


海曾-威廉(Hazen-Wllliams)系数

管道材料

Ch

管道材料

Ch

塑料管、内衬(涂)塑管

140

铜管、

不锈钢管

130

内衬水泥、树脂的

铸铁管

130

普通钢管、

铸铁管

100

海曾-威廉(Hazen-Wllliams)系数

管道材料

CHW

管道材料

CHW

铸铁管

100

衬水泥铸铁管

120

碳钢管

112

玻璃纤维增强塑料管

150

海曾-威廉(Hazen-Wllliams)系数C

管道材料

Age

Size, in

C

Welded 

steel

Any age

≥12

8

4

120

119

118


Concrete 

or

concrete

-lined

Large sizes, good

workmanship, 

steel forms

Large sizes, good 

workmanship, 

wooden forms

Centrifugally spun

140

120

135

海曾-威廉(Hazen-Wllliams)粗糙系数Cw:

管道材料

CW

管道材料

CW

塑料管

150

新铸铁管、涂沥青或水泥的铸铁管

130

石棉水泥管

120~

140

使用5年的铸铁管、焊接钢管

120

混凝土管焊接钢管木管

120

使用10年的铁管、焊接钢管

110

水泥衬里管

120

使用20年的铸铁管

90~100

陶土管

110

使用30年的铸铁管

75~90


3 柯尔勃洛克-怀特(Colebrook-White)公式

柯尔勃洛克-怀特公式适于各种紊流,是适用性和计算精度最高的公式之一。公式为:

式中:

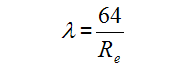
      λ-沿程摩阻系数(化工中又记作范宁摩擦因数),量纲为1。λ并不是一个确定的常数,λ与雷诺数Re和管壁相对粗糙度∆/d有关,即λ=f(Re,∆/d),但对于圆管层流运动,λ仅与流态有关,λ=64/Re。
      Re-雷诺数;
      D-管道内径,m;
      V-平均流速,m/s;
      e-管壁当量粗糙度,m;
      ν-运动粘度,m2/s


于紊流区包括水力光滑区、过渡区(又称紊流过渡区)和阻力平方区。

公式
适用范围

紊流区钢管及其它光滑管道。钢管取k=0.0001~0.0002 m


4 舍维列夫公式

舍维列夫公式适于旧铸铁管和旧钢管满管紊流,常用于给水管道水力计算,公式为


说明
公式
式中
1

适用于石棉水泥管

V-流速m/s
d-管道内径m

2

适用于塑料管(硬聚氯乙烯管、聚丙烯管、聚乙烯管)


3

适用于有压管道沿程水头损失

hf—沿程水头损失,m
d—管道内径,mm
Q—流量,m3/h
L—管道长度,m


f, m, b
值见下表:

管道种类
f
m
b
混凝土管
1.749*106
2
5.33
旧钢管、旧铸铁管
6.25*105
1.9
5.1
石棉水
泥管
1.455*105
1.85
4.879
硬塑料管
0.9487*105
1.77
4.77
铝质管及铝合金管
0.861*105
1.74
4.74
地面铺设移动软管
hf值为硬塑料管的1.1~1.5倍



流态
摩擦系数
≥9.2*105 (1/m)
阻力平方区

<9.2*105 (1/m)
紊流过渡区

谢维列夫公式适于新钢管满管紊流。公式为:


流态
摩擦系数

水力
光滑区

<2.4*105 (1/m)
紊流
过渡区

≥2.4*105 (1/m)
阻力
平方区


流态类别
Re范围
常用的经验公式
层流
Re≤2000

紊流
水力光滑


混合摩擦

水力粗糙


流态类别
Re范围
常用的经验公式
临界区或临界过渡区
2000<Re<4000


5 Strickler method

说明
公式
式中

This formula is often used today in structural engineering.


c=velocity (m/s)

k1=pressure

loss coefficient

I=pressure loss

per meter pipe 

    length

RH=hydraulic

     radius

Strickler k1 values

Materials
k1
Steel pipes


Heavily
corroede
60

Moderately 
corroded
85

Welded, new
95

Smooth
≥100
Plastic pipes
Pipes with asphalt or 
cement mortar surfacing
Conecrete pipes


Cast in steel 

shuttering

90~100

Cast in
timber 
shuttering
65~70
Penstocks

(55)~85~(95)

 管壁粗糙度


常用管材内壁当量粗糙度

管壁材料
光滑
平均
粗糙
玻璃拉成的管
0
0.003
0.006
钢、PVCAC
0.015
0.03
0.06
有涂层的钢
0.03
0.06
0.15
镀锌管、陶土管
0.06
0.15
0.3
铸铁或水泥衬里管
0.15
0.3
0.6
预应力混凝土管
或木管
0.3
0.6
1.5
脏的污水管道或
结瘤的给水主管线
6
15
30

某些工业管道的绝对粗糙度 

管壁材料
绝对粗糙度(ε)
无缝黄铜管
铜管及铅管
0.01~0.05
新的无缝钢管
或镀锌管
0.1~0.2
新的铸铁管
0.25~0.42
具有轻度腐蚀的无缝钢管
0.2~0.3
具有显著腐蚀的无缝钢管
0.5以上
旧的铸铁管
0.85以上
焊接钢管
0.33
干净玻璃管
0.0015~0.01
橡皮软管
0.01~0.03
接头平整的水泥管
0.33

常见管道的平均绝对粗糙度 

管壁材料
平均绝对粗糙度e
干净钢、铝管
0.0015~0.01
新无缝钢管
0.04~0.17
精制镀锌钢管
0.25
水泥管
0.33
普通镀锌钢管
0.39
普通铸铁管
0.25~0.42
玻璃管
0.0015~0.01
橡皮管
0.01~0.03
混凝土管
0.8~9.0

Roughness values k for various materials 

Materials

 k (mm)

Smooth pipes of plastic, glass, copper, brass; 
drawn, extruded, ground finished

0.002

Seammless steel pipes, asbestos cement pipes

0.05

Welded steel pipes, new

0.05~0.1

Welded steel pipes, corroded

0.15~0.2

Spun concrete pipes,stoneware pipes, 

new cast-iron pipes

0.2

各种壁面当量粗糙度

管道

种类

加工及

使用情况

Δ(mm)

玻璃、铜

铅管、铝管

新的、

光滑的、

整体拉制的

0.001~

0.01

0.0015~0.06

0.005

0.03

无缝

钢管

新的清洁的、敷设良好的

用过几年后加以清洗的、涂沥青的、轻微腐蚀的、污垢不多的

0.02~0.05

0.15~0.3

0.03

0.2

焊接钢管和铆接钢管

1 小口径焊接钢管(只有纵向焊缝的钢管)

清洁、经清洗后锈蚀不显著的旧管、

轻度腐蚀旧管

中等腐蚀旧管

2 大口径钢管

纵缝和横缝都是焊接的

0.03~0.1

0.1~0.2

0.2~0.7

0.8~1.5

0.3~1.0

0.05

0.15

0.5

1.0

0.7

镀锌钢管

镀锌面光滑洁净的新管

镀锌面一般的新管

用过几年的旧管

0.07~0.1

0.1~0.2

0.4~0.7

0.15

0.5

铸铁管

新管

涂沥青的新管

涂沥青的旧管

0.2~0.5

0.1~0.15

0.12~0.3

0.3

0.18

混凝土管及钢筋混凝土管

无抹灰面层

钢模板,施工质量好、接缝平衡

木模板,施工质量一般、

有抹灰面层并经抹光、

有喷浆面层

表面用钢丝刷过并经仔细抹光、

表面用钢丝刷刷过,但未经抹光

0.3~0.9

1.0~1.8

0.25~1.8

0.7~2.8

0.7

1.2

0.7

1.2

8.0

橡胶软管



0.03

某些管道表面的平均绝对粗糙度Δ值 

管壁表面特征
Δ,mm
管壁表面特征
Δ,mm
清洁无缝钢管、铝管
0.0015~0.01
新铸铁管
0.25~0.42
新精制无缝钢管
0.04~0.15
普通铸铁管
0.50~0.85
通用输油管
0.14~0.15
生锈铸铁管
1.00~1.50
普通钢管
0.19
结水垢铸铁管
1.5~3.0
涂沥青钢管
0.12~0.21
光滑水泥管
0.3~0.8
普通镀锌钢管
0.39
粗糙水泥管
1~2
旧钢管
0.5~0.6
橡皮软管
0.01~0.03

Equivalent uniform roughness k for pipes 

Commercial pipe (new) 
material
Equivalent unifrom 
roughness, k, of the surface
Glass, drawn brass, copper or lead
Smooth
Steel
0.05
Asphalted cast 
iron
0.12
Galvanized iron
0.15
Cast iron
0.25
Concrete
0.3 to 3.0
Riveted steel
1.0 to 10.0

上述eΔ、k的意义与GB/T 1031中的相同。
沿程水头损失计算公式的适用范围


      1 海曾-威廉公式适用于较光滑的管道,特别是当e≤0.25 mm (CW≥130)时,该公式较其他公式有较高的计算精度;
      2 舍维列夫公式在1.0≤e≤1.5 mm之间给出了令人满意的结果,这说明建立舍维列夫公式时试验所用旧铸铁管或旧钢管的当量粗糙度在1.0~1.5 mm之内,这正是旧金属管道常见的粗糙度范围。因此,对通常条件下的旧金属管道,选用舍维列夫公式具有较好的实用效果。但是,由于舍维列夫公式没有考虑管壁粗糙程度的影响,对于管壁光滑或特别粗糙的管道,是不适用的。
      3 柯尔勃洛克-怀特公式适于各种紊流,是适用性和计算精度最高的公式之一。

声明:本站文章来源转载仅供参考学习,转载内容合法性不承担保证责任,但将依法配合处理侵权纠纷,转载内容版权归原作者所有,本站已尽力标注来源,若有疏忽请联系更正,如果有侵权请联系我们24小时之内删除13366556600

热线电话
133 6655 6600
热线电话 微信咨询
回到顶部 回到首页