服务热线:133 6655 6600
发布内容
当前位置: 现代供热网 技术交流 正文

介绍管式空气预热器热力计算的几个公式

61 2025-12-24

0 前言

在锅炉管式空气预热器的换热性能校核计算中,常采用平均温压法和温度效率-传热单元数法(E-NTU法)。不管采用何种方法,都需要假定流体的出口温度和管壁温度。对于平均温压法,这种假定的偏差通过(1)定性温度物性参数一换热系数传热系数,和(2)平均温压这样两条路径影响最终结果。虽然假定的偏差对传热系数的影响很微小,但对平均温压的影响却很大。因此,采用平均温压法进行校核计算时,需要多次试凑,这使得计算显得过于复杂。对于E-NTU法,因为假定的偏差仅仅通过路径(1)对换热系数产生极微的影响,所以不必如平均温压法那样,最后还需要检验假定的偏差大小。

但在实际计算中,尽管采用E-NTU法,空气预热器的换热性能校核计算仍显得过于复杂。经过大量的对比计算和反复拟合,笔者发现,影响空气预热器换热性能的决定因素有2个:几何因素和温度因素。几何因素由空气预热器的结构、流体的流动形式决定(如管子内外径、管子长度、管排纵横向节距、管排数等),而温度因素则通过温度变化对参与工作的物质(空气、烟气、空气预热器的材料)的物性参数变化反映出来。正是基于这种观点,笔者提出更为简单有效的空气预热器换热计算公式。

1 管式空气预热器的传热

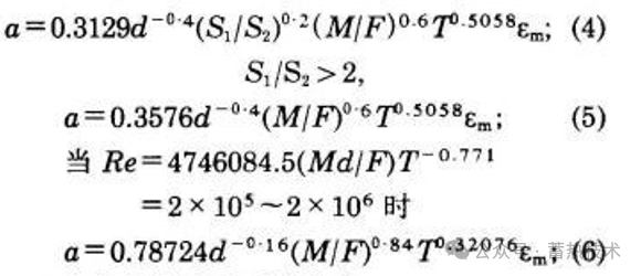
1.1空气横掠错列圆管管束的换热

1.2烟气横掠错列圆管管束的换热

1.3空气管内紊流时的换热

1.4烟气管内紊流时的换热

2 计算实例

一锅炉管式空气预热器,简图如图1所示,烟气在管内流过,空气在管外横向流过,以利用锅炉排烟加热进入炉膛的空气。已知空气预热器的结构尺寸为:

管子内径d1=0.034m;

管子外径d2=0.038m;

横向管节距S1=0.06m;

纵向管节距S2=0.052m;

横向管子数管Z1=30;

排数Z2=57;

其他结构尺寸见图,管束成叉排。空气预热器的工作条件为:

空气侧:M1=11.03kg/s;

T1=303K;

烟气侧:M2=11.8kg/s;

T2=558K

求空气的出口温度T1"和烟气的出口温度T2"。

在求解过程中,空气平均换热系数使用公式(1),烟气平均换热系数采用公式(8),计算结果如下表所示:

现在来比较两种结果的误差:

文献[1]:|∆1|=|(1601.1-1600.4)|/1601.1=0.0437%

或|∆1|=|(1601.1-1599.6)|/1601.1= 0.0937%

本文:||=|(1604.03-1603.7)|/1604.03= 0.0206%

或|∆|=|(1604.03-1603.5)|/1604.03=0.0330%

则有|1|>|∆|

从上面的比较可以发现,应用本文提供的计算公式计算所得的结果的精确度高于文献[1]中的计算结果的精确度。为了证明其正确性,笔者通过改变空气预热器的结构参数和进入空气预热器介质的温度,进行多次计算和比较,证明利用本文提供的计算公式所得的结果比利用文献[1]提供的计算公式所得的结果更为精确。改变有关参数的计算结果见下表2。

在文献[1]中的计算过程中,介质的一系列物性参数的查取,都是通过内插法求得,而内插法的精确度受到物性参数随温度变化的线性程度的影响,这种将非线性变化近似处理成线性变化的内插法是导致物性参数偏差的根本原因,计算中涉及的物性参数越多,内插的间距越大,这种偏差的累积使得计算结果的精确度越低。

3 结论

本文对空气预热器的换热性能进行了研究,将影响空气预热器的换热性能的诸多因素简化、归纳为两个最基本的因素:几何因素和温度因素,并总结出管式空气预热器的介质传热系数计算的8个计算公式,这些计算公式经过实际应用,证明其较文献[1]中的计算公式具有更高的精确度,而且在计算过程中不需要

查找空气和烟气的物性参数,减小了因内插法带来的偏差,也不需要事先假定空气预热器的壁温和事后对壁温进行修正,大大简化了计算步骤。

在使用本文提供的8个计算公式时,合理选取空气和烟气的算术平均温度,对计算的快速性和准确性有一定的影响,笔者建议使用如下方法:

联解

得出T1"=T2"的值并取整,然后估计空气和烟气的算术平均温度:

用上述算术平均温度代入本文提供计算公式中,可以使计算一次性完成,无须校核。


参考文献

[1]邱树林,钱滨江编.<<换热器原理,结构,设计>.上海交通大学出版社,1990.7;

[2]杨世铭编.<传热学>>.高等教育出版社,1987;

声明:本站文章来源转载仅供参考学习,转载内容合法性不承担保证责任,但将依法配合处理侵权纠纷,转载内容版权归原作者所有,本站已尽力标注来源,若有疏忽请联系更正,如果有侵权请联系我们24小时之内删除13366556600

热线电话
133 6655 6600
热线电话 微信咨询
回到顶部 回到首页