服务热线:133 6655 6600
发布内容
当前位置: 现代供热网 技术交流 正文

热水供热系统水力工况的分析和计算

118 2025-11-25

【例题】网路在正常工况时的水压图和各热用户的流量如图1所示。如关闭热用户3,试求其他各热用户的流量及其水力失调程度。


图1  例题附图


【解】 

1.根据正常工况下的流量和压降,求网路干管(包括供、回水管)和各热用户的阻抗S。

如对用户5。已知其流量100m³/h,压力损失为10×10⁴ Pa,根据式

可得

同样可求得网路干管和各热用户的阻抗S值,见表1。

表1  干管和热用户的阻抗


2.计算水力工况改变后网路的总阻抗S。

(1)求热用户3之后的网路总阻抗

(2)求热用户2之后的网路总阻抗(热用户3关闭,下同)

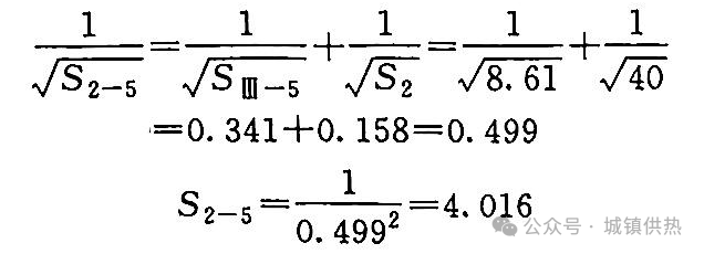
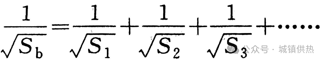
(3)求热用户2分支点的网路总阻抗S2-5。热用户2与热用户2之后的网路并联, 故总阻抗S2-5。由式

求得

(4)求热用户1之后的网路总阻抗SⅡ-5。同理

(5)求热用户1分支点的网路总阻抗S1-5。同理

(6)最后确定网路的总阻抗S


3.求网路在工况变动后的总流量V。

假定网路循环水泵的扬程不变P=60×10⁴Pa,则


4.根据下面各并联管段流量分配比例的计算公式,求各热用户的流量。

(1)求热用户1的流量

(2)求热用户2的流量

(3)求热用户4、5的流量V₄ 、V₅

热用户3之后的网路各管段阻抗不变。因此,在水力工况变化后各管段的流量均按同一比例变化。干管IV的水力失调度x值为

因此,热用户4、5的流量分别为

其计算结果列于表2。

表2  计算结果


5.确定工况变动后各用户的作用压差。

当网路水力工况变化后,热用户1的作用压差应等于热源出口的作用压差减去干线I的压力损失,即

同理,可计算出各热用户的作用压差,其计算结果列于表2。图1中虚线表示水力工况变化后各用户的作用压差变化图。

计算例题说明,只要热网各管段及各热用户的阻抗为已知值,则可以通过计算方法,确定网路的水力工况——各管段和各热用户的流量以及相应的作用压头,但计算极为繁琐。近年来,网路计算理论的不断完善和电子计算机技术的高速发展,使得这类计算问题容易得到解决。因此,利用计算机分析热水网路水力工况,并以此来指导网路进行初调节,甚至配合微机监控系统,对热水网路实现遥控等技术,在国内也得到了应用。 

本文节选自《供热工程(第五版)》

声明:本站文章来源转载仅供参考学习,转载内容合法性不承担保证责任,但将依法配合处理侵权纠纷,转载内容版权归原作者所有,本站已尽力标注来源,若有疏忽请联系更正,如果有侵权请联系我们24小时之内删除13366556600

热线电话
133 6655 6600
热线电话 微信咨询
回到顶部 回到首页