服务热线:133 6655 6600
发布内容
当前位置: 现代供热网 技术交流 正文

供热系统的水力计算和水压图

279 2025-11-10

一、水力计算


1 水力计算作用

水力计算的作用有以下几点。

1)绘制热网的水压图,确定供热系统最佳运行工况,分析供热系统正常运行的压力工况,确保热用户有足够的资用压头,系统不超压、不汽化、不倒空。

2)选择用户系统与供热管网的合理连接方式,选定用户入口装置。

3)确定供热系统的循环水泵。

4)确定定压方式、系统加压方式、节能措施,选定补水泵。

5)计算供热管网的建设投资、金属耗量和施工安装工程量。


2 方法和步骤

水力计算的步骤如下。

1)确定热水网路中各个管段的计算流量。管段的计算流量就是该管段所负担的各个用户的计算流量之和,以此可计算流量确定管段的管径和压力损失,计算流量为

图片

2)确定热水网路的主干线及其沿程比摩阻。热水网路水力计算从主干线开始计算。网路中平均比摩阻最小的一条管线称为主干线。在一般情况下,热水网路各用户要求预留的作用压差是基本相等的,所以通常从热源到最远用户的管线是主干线。

主干线的平均比摩阻R值对确定整个管网的管径起着决定性作用。如选用比摩阻R值越大,需要的管径越小,因而降低了管网的基建投资和热损失,但网路循环水泵的基建投资及运行耗电量随之增大,这就需要确定一个经济的比摩阻,使得在规定的计算年限内总费用最小。影响经济比摩阻值的因素很多,理论上应根据工程具体条件,通过计算确定。

根据《城镇供热管网设计标准》(CJJ/T34—2022),在一般的情况下,热水网路主干线的设计平均比摩阻可取30~70Pa/m进行计算。《城镇供热管网设计标准》(CJJ/T34—2022)建议的数值主要是根据多年来采用直接连接的热水网路系统规定的。对于采用间接连接的热水网路系统,根据北欧国家的设计与运行经验,采用主干线的平均比摩阻值比上述规定的值高,有的达到100Pa/m。间接连接的热网主干线的合理平均比摩阻值有待通过技术经济分析和运行经验进一步确定。

3)根据网路主干线各管段的计算流量和初步选用的平均比摩阻R值,利用水力计算表,确定主干线各管段的标准管径和相应的实际比摩阻。

4)根据选用的标准管径和管段中局部阻力的形式,可确定各管段局部阻力的当量长度ld的总和及管段的折算长度lzh

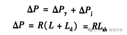
5)根据管段的折算长度lzh及由附录查到的比摩阻,利用公式,计算主干线各管段的总压降。

沿程阻力Py

图片

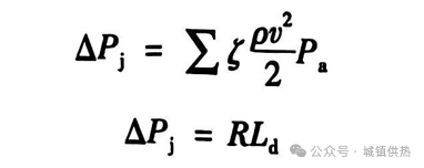
局部阻力Pj

图片

式中,ζ为管道阻力系数,v为流速。

总阻力损失P为

图片

6)主干线水力计算完成后,便可进行热水网路支干线、支线等计算。计算时应按支干线、支线的资用压力确定其管径,但热水流速不应大于3.5m/s;同时比摩阻不应大于300Pa/m(见《城镇供热管网设计标准》(CJJ/T34— 2022)规定)。规范中采用了两个控制指标,实际上是对管径DN≥400mm的管道控制其流速不得超过3.5m/s(尚未达到300Pa/m),而对管径DN<400mm的管道控制其比摩阻不得超过300Pa/m(对DN50的管子,当R=300Pa/m时,流速v约为0.9m/s)。

为消除剩余压头,通常在用户引入口或热力站处安装调节阀门,包括手动调节阀、平衡阀、自力式压差控制阀、自力式流量控制阀等,用来消除剩余压头,以保证用户所需要的流量。


二、水压图


1 水压图的作用

水力计算只能确定各管段之间的压力损失(压差)值,但不能确定各管段上的压力(压头)值。水压图可以清晰地表示出热水管路中各点的压力。


2 绘制水压图的步骤

1)以网路循环水泵中心线的高度(或其他方便的高度)为基准面,在纵坐标上按一定的比例尺作出标高的刻度,沿基准面在横坐标上按一定的比例尺作出距离的刻度。

按照网路上的各点和各用户从热源出口起沿管路计算的距离,在x轴上相应点标出网路相对于基准面的标高和房屋高度。

2)选定静水压曲线的位置。静水压曲线是网路循环水泵停止工作时网路上各点的测压管水头的连接线,是一条水平的直线。静水压曲线的高度必须满足下列技术要求。

①与热水网路直接连接的供暖用户系统内,底层散热器所承受的静水压力应不超过散热器的承压能力。

②热水网路及与它直接连接的用户系统内,不会出现汽化或倒空(下限要求)。选定的静水压线位置靠系统所采用的定压方式来保证。目前在国内的热水供热系统中,最常用的定压方式是采用高位水箱或采用补给水泵定压。同时,定压点的位置通常置设在网路循环水泵的吸入端。

3)选定回水管的动水压曲线的位置。在网路循环水泵运转时,网路回水管各点的测压管水头的连接线称为回水管动水压曲线。在热水网路设计中,如预先分析在选用不同的主干线比摩阻情况下网路的压力状况时,可根据给定的比摩阻值和局部阻力所占的比例,确定一个平均比压降(每米管长的沿程损失和局部损失之和),即确定回水管动水压的坡度,初步绘制回水管动水压线。如已知热水网路水力计算结果,则可按各管段的实际压力损失确定回水管动水压线。

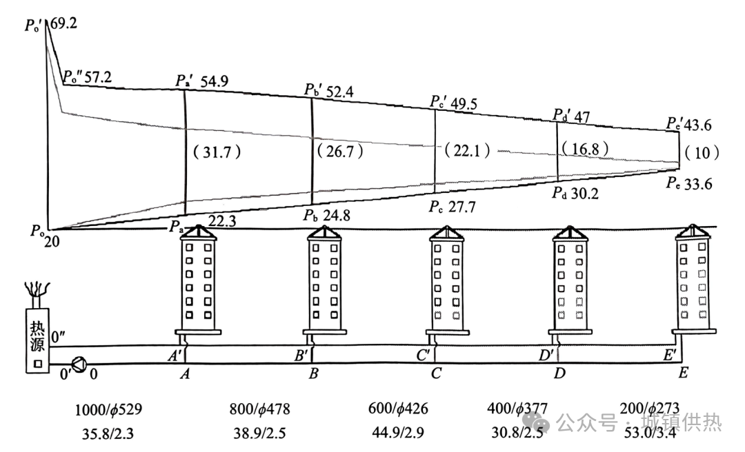
4)选定供水管动水压曲线的位置。在网路循环水泵运转时,网路供水管内各点的测压管水头连接线称为供水管动水压曲线。同理,供水管动水压曲线沿着水流方向逐渐下降,它在每米管长上降低的高度反映了供水管的比压降值。水压图如图1所示。


图片

图1  水压图


[例] 如图2热网,5栋6层楼,每层3m高,每栋均为5万m² , 系统阻力为10m,间距均为500m。试进行管径及设备选型并画出水压图(局部阻力按沿程阻力的0.3倍计算)。


图片

图2  热网


水压图如图3所示。流量输配时受沿程阻力和局部阻力的影响,在供水管与回水管之间产生近端压差大、远端压差小的偏差,从而造成近端流量大、远端流量小的问题。不论我们设计得多么仔细和完善,都不能彻底解决这一平衡问题,真正的平衡只能靠设备控制来实现。


图片

图3  水压图


三、水力计算实例


某换热站西区供暖面积16.9m²,供暖半径600m,图纸有相应管径和长度,对其进行水力计算和设备选型。实际管线分布如图4所示。


图片

图4  实际管线分布


水力计算表见表1。

表1  水力计算表

图片

从水力计算表可以看出,部分管段比摩阻在100Pa/m以上,管段偏细, 注意失调性和管网调节。计算得水压图如图5所示。


图片

图5  水压图


本供暖区域计算循环水泵流量为G=676m³/h,计算扬程H=15mH₂O。然后根据水泵说明书选取相应循环水泵型号。本区域最高楼层为6层,补水泵扬程按照楼高留取富余量,流量可按照循环水量3%~5%选取。补水泵计算流量G=20.28m³/h,计算扬程H=23mH₂O。然后根据水泵说明书选取相应补水泵型号。


管径与供热面积选取见表2。

表2  管径与供热面积的关系表

图片

注:表格中相应管径所带流量的大小根据经济比摩阻确定,具体数值还应与管长有关;所带面积的大小根据合理经验值确定,具体数值还应根据管网的失调性确定。

声明:本站文章来源转载仅供参考学习,转载内容合法性不承担保证责任,但将依法配合处理侵权纠纷,转载内容版权归原作者所有,本站已尽力标注来源,若有疏忽请联系更正,如果有侵权请联系我们24小时之内删除13366556600

热线电话
133 6655 6600
热线电话 微信咨询
回到顶部 回到首页