服务热线:133 6655 6600
发布内容
当前位置: 现代供热网 技术交流 正文

集中供热知识!涉及循环水泵、管网平衡等九大类

215 2025-08-03
1、循环水泵的确定


(1)确定输送介质及介质温度、压力等参数;

(2)供热面积A,根据热指标qf计算热负荷Q:Q=qf×A,根据二次网的温差,可求得二次网流量,即为循环水泵的流量;

(3)根据热负荷区域二次网系统、户内系统及换热站内各设备及管件引起的阻力,再考虑一定的气蚀裕量,全部相加可计算出循环水泵的扬程;

(4)对照泵的特性曲线,选择工作点在高效率区间段的水泵即可。

补水泵的确定:

(1)正常工况下,补水量为循环水量的2%,事故情况下,补水量为循环水量的4%,因此,补水泵的流量应取循环水量的4%;

(2)系统定压点允许波动的上限值取为补水泵的扬程;

(3)对照泵的特性曲线,选择工作点在高效率区间段的水泵即可。

2、二次网管径确定


1)根据热负荷面积与热指标值,计算热负荷(W);

(2)根据热负荷、二次网温差,计算通过管段的流量G;


图片

3、耗热量的计算


图片

(4)围护结构的附加耗热量:

① 朝向修正耗热量:北、东北、西北:0%~-10%;东、西:-5%;东南、西南-10%~-15%;南:-15%~-25%。

② 风力附加耗热量:一般情况下,不必考虑风力附加。只对建在不避风的高地、河边、海岸、旷野上的建筑物,以及城镇、厂区内特别突出的建筑物,应考虑垂直外围护结构附加5%~10%。

③ 高度修正耗热量:当房间高度在4m以下时,可以不考虑高度附加。高度超过4m时,每高出1m附加2%,但总的附加率不应大于15%。


图片

4、定压种类
图片

5、循环泵的特性曲线

通常把表示主要性能参数之间关系的曲线称为泵的性能曲线或特性曲线,实质上,泵的性能曲线是液体在泵内运动规律的外部表现形式,通过实测求得。

特性曲线包括:流量-扬程曲线(Q-H),流量-效率曲线(Q-η),流量-功率曲线(Q-N),流量-汽蚀余量曲线(Q-(NPSH)r)。

性能曲线作用是水泵任意的流量点,郭鹏学暖通。都可以在曲线上找出一组与其相对的扬程、功率、效率和汽蚀余量值,这一组参数称为工作状态,简称工况或工况点,最高效率点的工况称为最佳工况点,最佳工况点一般为设计工况点。

一般泵的额定参数即设计工况点和最佳工况点相重合或很接近。在最佳效率区间运行,既节能,又能保证泵的正常工作。


6、管网平衡及水力失调

(1)管网的初调节

在管网正式运行之前,进行初调节,即将各用户的流量运行调配至理想流量(用户实际热负荷需求的流量)。初调节的基本原则:使供热系统远端的大多数用户的实际流量不少于设计流量的50%,而近端用户的实际流量不超过设计流量的300%,这样可以基本保证最远用户的室温不致过低,近端用户的室温不致过高。

(2)运行调节

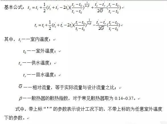
在整个供暖季节,随室外温度的变化,随时对供水温度、流量等进行的调节。常见的调节方法有质调节、量调节、分阶段改变流量的质调节、间歇调节。


图片

(3)水平失调:初调节不当时,就会出现近处立管流量超过要求,而远处立管流量不足。在远近立管处出现流量失调而引起的水平方向冷热不均的现象,称为水平失调。

(4)垂直失调:在供暖建筑物中,同一竖向的各层房间的室温不符合设计要求的温度,而出现上、下层冷热不均的现象。双管系统的垂直失调是因为通过各层的循环作用压力不同而引起的,单管系统是由于各层散热器的传热系数K随各层散热器平均计算温度差的变化程度不同而引起的。


7、换热器


图片

特点:传热强度高、传热温差大、结构紧凑、易清洗,适用于含有易结垢物的流体。

(3)混合式:冷、热流体直接接触进行换热,只要接触情况良好,就有较大的传热速率,适用于允许流体相互混合的场合。

(4)蓄热式:冷、热流体交替的流过同一固体传热面及其所形成的通道,依靠构成传热面的物体的热容作用,实现冷、热流体之间的热交换。适用于流量大的气—气热交换场合。

供热行业,水—水换热站多用板式换热器,汽—水换热站多用管壳式换热器,下面重点介绍板式换热器:

板式换热器的主要部件:传热板片、密封垫圈、前后端板、定位螺栓、压紧装置、轴、接口管、垫片等。常见的传热板片有:人字形板、水平平直波纹板、锯齿形板。无论哪种板片,它们都具有:强化传热的凹凸形波纹、板片四周及角孔处的密封槽、流体的进出口以及悬挂用的缺口。

工作原理:板式换热器在组装时,每相邻的两板片是互相倒置的,从而形成网状触点,并使通道中的流体形成网状流。流体从板片一端的一个角孔流入,可从另一端同一侧的角孔流出(称之为“单边流”),或是从另一端的另一侧的角孔流出(称为“对角流”)。通常,冷、热流体在各自的流道内逆向流动,如图所示。


图片


8、换热器常见故障:


(1)堵塞

换热器前后压损增大,前后压力表示数的差值超过0.1MP,证明换热器堵塞,需要拆洗换热器,清除杂物。

(2) 存在气体

换热器内空气未排出,处理方法:初投运时注意排出换热器内空气,并在运行中检查排气。

(3)结垢

系统水质不达标,将引起换热器内部结垢,处理方法:一是拆开换热器清理,二是对换热器进行化学清洗。

(4)泄漏

 换热器前后压力相同,证明换热器内部串水,有泄漏,应更换板片。若外部泄漏,应更换密封垫片。


9、循环泵的正常运行


图片

水泵常见故障分析及处理方法:
(1)流量不足

产生原因:影响水泵流量不足多是吸水管漏气、底阀漏气;进水口堵塞;底阀入水深度不足;水泵转速太低;密封环或叶轮磨损过大;吸水高度超标等。

处理方法:检查吸水管与底阀,堵住漏气源;清理进水口处的淤泥或堵塞物;底阀入水深度必须大于进水管直径的1.5倍,加大底阀入水深度;检查电源电压,提高水泵转速,更换密封环或叶轮;降低水泵的安装位置,或更换高扬程水泵。

(2)功率消耗过大

产生原因:水泵转速太高;水泵主轴弯曲或水泵主轴与电机主轴不同心或不平行;选用水泵扬程不合适;水泵吸入泥沙或有堵塞物;电机滚珠轴承损坏等。

处理方法:检查电路电压,降低水泵转速;矫正水泵主轴或调整水泵与电机的相对位置;选用合适扬程的水泵;清理泥沙或堵塞物;更换电机的滚珠轴承。

(3)泵体剧烈振动或产生噪音

产生原因:水泵安装不牢或水泵安装过高;电机滚珠轴承损坏;水泵主轴弯曲或与电机主轴不同心、不平行等。

处理方法:装稳水泵或降低水泵的安装高度;更换电机滚珠轴承;矫正弯曲的水泵主轴或调整好水泵与电机的相对位置。

(4)传动轴或电机轴承过热

产生原因:缺少润滑油或轴承破裂等。

处理方法:加注润滑油或更换轴承。

(5)水泵不出水

产生原因:泵体和吸水管没灌满引水;动水位低于水泵滤水管;吸水管破裂等。

处理方法:排除底阀故障,灌满引水;降低水泵的安装位置,使滤水管在动水位之下,或等动水位升过滤水管再抽水;修补或更换吸水管。

常用的简易状态监测方法主要有听诊法、触测法和观察法等。

(1)听诊法

设备正常运转时,伴随发生的声响总是具有一定的音律和节奏。只要熟悉和掌握这些正常的音律和节奏,通过人的听觉功能就能对比出设备是否出现了重、杂、怪、乱的异常噪声,判断设备内部出现的松动、撞击、不平衡等隐患。

(2)触测法

用人手的触觉可以监测设备的温度、振动及间隙的变化情况。

(3)观察法

人的视觉可以观察设备上的机件有无松动、裂纹及其他损伤等;可以检查润滑是否正常,有无干摩擦和跑、冒、滴、漏现象;可以查看油箱沉积物中金属磨粒的多少、大小及特点,以判断相关零件的磨损情况;可以监测设备运动是否正常,有无异常现象发生;可以观看设备上安装的各种反映设备工作状态的仪表,了解数据的变化情况,可以通过测量工具和直接观察表面状况,检测产品质量,判断设备工作状况。



热线电话
133 6655 6600
热线电话 微信咨询
回到顶部 回到首页