服务热线:133 6655 6600
发布内容
当前位置: 现代供热网 技术交流 正文

水泵的最大安装高度计算

128 2025-03-18
为了避免汽蚀现象的发生,离心泵的安装高度需要进行非常仔细的校核计算。水泵进水侧装置形式示意图如下:

图片
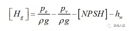
泵的允许几何安装高度与多方面条件有关,公式如下:
图片
式中:
[Hg]—泵的允许几何安装高度,m;(计算结果供设计时利用,实际安装高度需低于允许安装高度)
pe—吸水水面压力,Pa;(为吸水水面的大气压,海拔越高大气压越低)pv—饱和蒸汽压力,Pa;(与水温有关,水温越高,饱和蒸汽压力越高)ρ—流体的密度,kg/m3;g—重力加速度,9.81m/s2;[NPSHr]—水泵的允许汽蚀余量,m;(与水泵性能有关,由水泵厂家提供)hw—吸入管路中的水头损失,m。(与吸水管路设计有关,由设计人员确定)
由上式可知:海拔越高、水温越高、允许汽蚀余量越大、进水管路水头损失越大,允许几何安装高度越小。不同海拔时的大气及对应的水头高度见下表:
图片
不同温度时水的饱和蒸汽压对应水头高度见下表:
图片
例:某品牌VISO125X100-315-55/2水泵汽蚀余量为[NPSHr]=3.29m,欲在海拔500m高度的地方工作,该地区夏季最高水温为40℃,若吸水管的水头损失为1m,则该泵在当地的运行几何安装高度[Hg]计算如下:设:吸水水面压力为当地大气压,由表查得海拔500m处大气压头9.7m;水温40℃时,水的饱和蒸汽压头为0.752m;计算得:[Hg]=9.7-0.752-3.29-1=4.658m
声明:本站文章图片来源转载仅供参考学习,转载内容合法性不承担保证责任,但将依法配合处理侵权纠纷,转载内容版权归原作者所有,本站已尽力标注来源,若有疏忽请联系更正,如果有侵权请联系我们24小时之内删除13366556600

热线电话
133 6655 6600
热线电话 微信咨询
回到顶部 回到首页